The Beginning
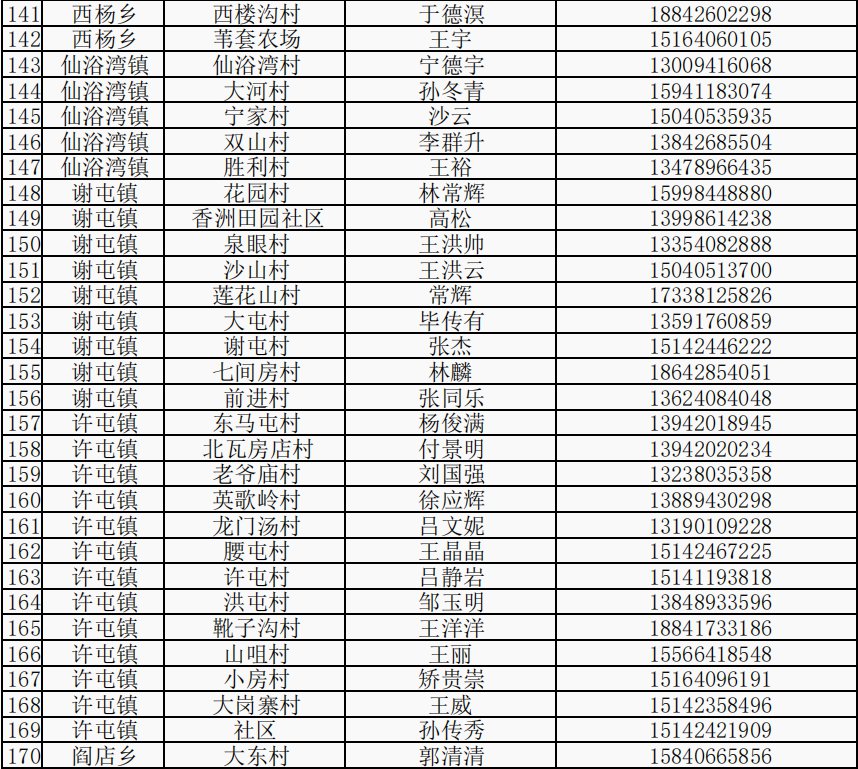
在新春佳节即将到来之际,为方便广大市民朋友进行防控政策咨询和返乡报备,现将瓦房店市各乡镇(街道)、村(社区)联系电话公布如下。
特别说明:以下电话为2022年春节返乡期间报备电话,不排除后期电话停用或更换的可能,如有变动,各位小伙伴们请咨询0411-114查号台。
拥有帝国一切,皆有可能。欢迎访问phome.net
表一
拥有帝国一切,皆有可能。欢迎访问phome.net
表二
THE END
