The Beginning
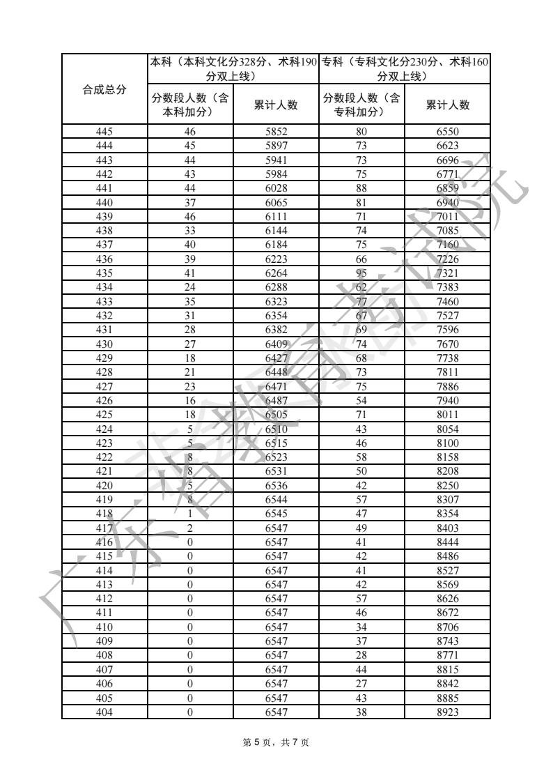
点击下载:广东省2022年普通高考音乐表演-声乐类总分分数段统计表(含本、专科层次加分)






| Empire CMS,phome.net |
拥有帝国一切,皆有可能。欢迎访问phome.net
高考各批次如何投档?
各批次各类型院校实行院校专业组投档录取模式。普通类分物理、历史两类分开划线,分开投档录取;艺体类不分物理、历史按计划类别统一划线,一起投档录取。
| Empire CMS,phome.net |
(1)普通类专业依据语文、数学、外语3门全国统一高考科目成绩和考生选择的3门广东省普通高中学业水平选择性考试科目成绩,参考综合素质评价择优录取;艺体类专业依据语文、数学、外语3门全国统一高考科目成绩和考生选择的3门广东省普通高中学业水平选择性考试科目成绩及相应专业术科成绩,参考综合素质评价择优录取。投档时,省招办将学生综合素质评价情况提供给招生院校。综合素质评价情况具体使用办法由招生院校在招生章程中予以明确。
(2)符合高校专项计划、高水平艺术团、高水平运动队、综合评价等特殊类型招生资格,且高考成绩达到相应控制线的考生,全部投档给院校,由院校按照招生章程公布的原则进行录取。
(3)不安排分省分专业招生计划的院校专业组,投档时不含政策性加分。
(4)录取时,因生源不足产生的空额计划,要在征集志愿录取时,结合生源情况研究决定。
THE END
